이 글은 지극히 개인적인 관점임을 밝혀둡니다.
시리즈
들어가며
결핵(Tuberculosis; TB)은 가난한 자들의 병이라고 불리는, 개발도상국에 많은 질환으로 Mycobacterium tuberculosis라는 균에 의해서 생기는 전염성 질환입니다. World Health Organization (WHO)에서 발간한 Global Tuberculosis Report 2024를 참고하면, 2024년에는 약 1200만명 정도가 결핵을 앓고 있고 한 해에 100만-150만명 정도가 결핵으로 죽습니다[출처 1]. 결핵은 국제적으로 영상을 사용하여 스크리닝 하는 것이 권고되지는 않는데, 한국에서도 마찬가지로 흉부 X선 검사(Chest X-Ray; CXR)는 결핵의 유용한 진단법이지만, CXR 단독으로 결핵을 진단하지는 말라는 것이 대한결핵 및 호흡기학회의 공식 입장[출처 2]입니다. 단순히 CXR에서 결핵 이상 소현이 발견되었다고 활동성 결핵이라고 판단할 수는 없으며 객담(sputum; 가래) 결핵균 검사를 통해 결핵을 확진하라는 것이 정식 지침입니다[출처 2]

결핵을 검사하기 위해서 비용효과성이 가장 뛰어난 검사는 객담 결핵균 검사이고, 한국 뿐 아니라 전 세계적으로도 객담 결핵균 검사가 가장 많이 권고됩니다[출처 2]

뿐만 아니라 요즈음은 Xpert MTB/RIF라는 분자진단검사가 도입되어 결핵균의 내성과 같은 정보를 빠르게 확인할 수 있지만 비용이 값싸지는 않기 떄문에 개발도상국에 마음껏 도입하기는 조금 한계점이 있습니다[출처 2].

따라서 전 세계의 결핵이 의심되는 모든 사람에게 객담 검사와 Xpert를 시행하면 좋으나, 결핵균은 증식 속도가 느려서 객담 검사를 통해 균을 배양하는 시간이 2주 정도로 기므로 진단 및 치료까지의 시간이 느려지게 되고, Xpert와 같은 검사는 비용이 상대적으로 고가이므로 개발도상국에 적용하기에는 한계점이 있습니다. 결국 대안으로 나오는 것이 첫 번째로 언급했던 CXR인데, 비록 가이드라인 상에서는 단독 진단을 하지 말라고 되어 있으나 인공지능의 발전으로 CXR에 인공지능을 적용하여 진단을 하려는 연구들이 2013년을 시작으로 한 때 속속들이 나왔습니다.
연구들
2013년에 출간된 네덜란드 Nijmegen 그룹의 CAD4TB 제품이 세계 최초로 개발된 현대적 의미의 TB CAD(Computer-Aided Diagnosis and/or Detection) 제품입니다. Zambia의 Lusaka 지역에서 수집된 WHO TB Specimen Bank 연구에서 일부를 가져온 데이터셋을 활용하여 네덜란드 Nijmegen 그룹에서 만든 CAD4TB 제품을 현장의 의사들의 판독과 평가하였고 현장 의사들의 판독보다 열등하지 않다는 것을 입증하였습니다[출처 3].

이후에 후속 연구들[출처 4, 5, 6 등등]을 포함한 많은 연구를 통해 CAD4TB의 임상 성능이 입증되었고 현재는 Delft라는 회사에서 CAD4TB라는 제품으로 판매중입니다[출처 7]. 이 당시 CAD4TB에 대한 비판들은 test set size가 작고 ethnicity가 제한되어 있다는 것에 머물러 있었습니다[출처 8]
그러던 중 한국의 서울대학교 병원에서 재미있는 연구를 하나 출간합니다[출처 9]. 서울대학교 본원과 분원들, 부산대학교병원, 세브란스병원, 인천성모병원 연구진들이 주축이 되셔서 진행한 연구로 가이드라인에 정면으로 도전하는 연구였습니다. EfficientNet을 통해서 약 10000장의 CXR을 모델에 학습시키고 치료 전부터 치료 후까지 모인 환자들의 CXR을 inference하였습니다. 이 모델은 온라인 상으로 무료 이용이 가능합니다[출처 10].
AI 모델의 성능이 우수한 것은 기본입니다.

더 살펴보기에 앞서 다시 대한결핵 및 호흡기학회 진료지침을 다시 봅시다. 진료지침 상에는 다음과 같은 문구가 적혀 있습니다[출처 2].

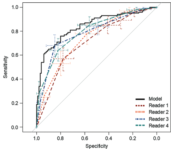
즉, 결핵의 활동성을 CXR로 평가하지 말라는 것이 공식적인 입장입니다. 하지만 본 연구에서는 결핵 환자들의 객담에 균이 얼마나 있는지를 AI 모델이 평가한 결핵 점수를 통해 어느 정도 구분할 수 있었다고 주장합니다[출처 9].

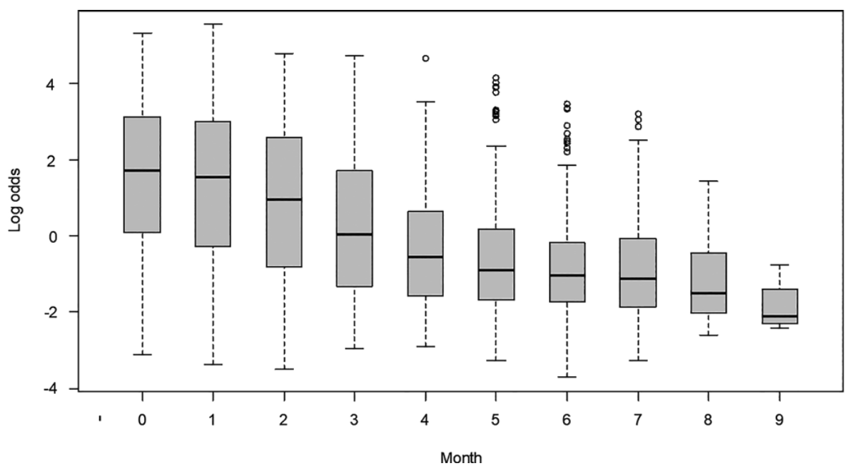
보시다시피 결핵균의 검출 량이 많아질수록 환자들의 AI 모델에 의한 결핵 점수가 증가하는 경향성을 가지는 것을 확인할 수 있습니다. 다시 말하지만, 이 모델은 결핵 환자들의 CXR만을 가지고 학습되었고 추론되었습니다. 두 번째로 재미있는 것은 환자의 치료 반응성입니다. 진단 당시(0개월)부터 마지막 추적검사(9개월)까지의 치료 기간동안 AI 모델이 뱉는 결핵 점수의 log odds는 다음 사진처럼 감소하였다고 주장합니다.

신기합니다. 그렇다면 진료지침은 뭐라고 이야기할까요? 바로 정반대의 이야기를 합니다.

다만, 이 가이드라인은 2024년 가이드라인이고 해당 연구는 2021년에 출간되었지만 이전 가이드라인에서도 정확히 같은 문장을 발견할 수 있습니다[출처 11, 12]. 이런 결과를 출간하였기 때문에 제가 가이드라인에 정면 돌파하는 연구라고 언급한 것입니다.
이후에는 연구들의 빈도가 조금 사그라들었는데 특별히 주목할 연구라기 보다는 결핵 유병률이 높은 지역(인도)와 결핵 유병률이 낮은 지역(미국)의 영상의학과 의사들의 진단능과 AI 모델의 비열등성, 혹은 우월성을 증명한 연구[출처 13]와 그 연구에 대한 editorial [출처 14]들이 있습니다. 개인적으로 느끼기에는 요즈음에는 실제로 사용하기 위해 상용화된 제품들을 비교하는 comparison study가 주를 이루는 것 같습니다[출처 15-23].
인허가를 받은 제품들
Delft사의 CAD4TB 제품[출처 7] 이외에도 많은 제품들이 있습니다. 본 글에서는 연구용으로 개발된 제품들까지 다루기에는 너무나도 방대한 분량이 될 것이므로 인허가를 받은 제품들만을 소개하기로 합니다.
VUNO-Med Chest X-Ray
VUNO는 VUNO-Med Chest X-Ray라는 제품 속에 결핵을 찾아내는 모듈이 탑재된 것으로 확인되었습니다.

한국 인허가와 유럽 CE MDD를 Class IIa로, 미국 FDA의 510(k)를 Class II를 획득한 것으로 확인되었습니다. FDA는 CADt로 통과한 것으로 확인됩니다.
그렇지만 혁신의료기기로 선정되는 과정에서는 모종의 이유(아마 진단명을 제시하는 것이 CADx로 분류되었던 것 같습니다.)로 결핵이 직접 검출 소견에서 빠진 것으로 확인됩니다. 다만 nodule이나 consolidation이 검출되면 간접적으로 결핵이 의심된다 정도만 제공하는 것 같습니다.

Lunit INSIGHT CR
루닛도 CADt의 형식으로 한국 인허가, CE MDR Class IIa, FDA 510(k) Class II를 다 획득하였습니다.
하지만 Lunit 또한 혁신의료기기로 선정되는 과정에서 결핵을 간접적으로만 제시를 해주고 있습니다(뷰노랑 같은 이유인 것으로 추정됩니다.).

qXR
Qure.ai사의 제품으로 [출처 24] CE MDR Class IIb를 획득하였습니다.

Annalise Enterprise CXR
Annalise Enterprise CXR 제품도 CE MDR Class IIb(사진)를 획득하였고 FDA 510(k)를 획득하였습니다.

InferRead DR Tuberculosis
중국 회사인 InferVision의 결핵 제품으로, CE Mark를 획득하였고 FDA는 확인되지 않았습니다.

Huiyihuiying DR AI-assisted Pulmonary TB Diagnosis
역시나 중국 회사로, CE MDD Class IIa만을 획득하였습니다.

RAYSCAPE Chest X-Ray
특이하게도 CE MDD Class I을 획득하였습니다.
Sensetime의 SenseCare-Chest DR Pro
CE MDR IIb를 받았습니다.
제3세계에 대한 실적용 사례
Radiology AI에 나온 서울대학교 병원의 Special Report가 최신지견까지 잘 정리되어 있습니다[출처 25]. 실제 세계에서의 비교는 Scientific Reports에 출간된 Stop TB라는 WHO의 지원을 받는 프로젝트에서 낸 연구[출처 26]이 가장 유명한데, 다음 그림[출처 26]에서 볼 수 있듯 한국 회사인 루닛이 자랑스럽게도 가장 좋은 성능을 보이고 있습니다.

마치며
결핵은 가난한 자들의 병이라고 서두에서 언급했듯 제3세계에 많은 질환입니다. 제3세계에서 결핵을 퇴치하려는 시도에 인공지능이 도움을 줄 수 있다면 좋겠지만, 현재의 가이드라인은 영상을 이용한 결핵의 활동성 및 치료 판단을 유보하라는 입장입니다[출처 2]. 가이드라인을 만드는 분들께서 인공지능에 대해 악의적인 의도가 있는 것은 절대 아니며, 더욱이 많은 근거들을 통해 결핵이 인공지능을 통해 박멸될 수 있게 더욱이 많은 연구와 근거를 창출해야 할 것입니다.
출처
- WHO Global Tuberculosis Report 2024
- 대한결핵 및 호흡기학회 2024 결핵진료지침 5판
- Detection of tuberculosis using digital chest radiography: automated reading vs. interpretation by clinical officers
- An automated tuberculosis screening strategy combining X-ray-based computer-aided detection and clinical information
- Diagnostic Accuracy of Computer-Aided Detection of Pulmonary Tuberculosis in Chest Radiographs: A Validation Study from Sub-Saharan Africa
- Deep Learning at Chest Radiography: Automated Classification of Pulmonary Tuberculosis by Using Convolutional Neural Networks
- Delft - CAD4TB
- Clinical Applicability of Deep Learning System in Detecting Tuberculosis with Chest Radiography
- Deep Learning to Determine the Activity of Pulmonary Tuberculosis on Chest Radiographs
- https://radiologist.app/activetb
- 대한결핵 및 호흡기학회 2020 결핵진료지침 4판
- 대한결핵 및 호흡기학회 2017 결핵진료지침 3판
- Deep Learning Detection of Active Pulmonary Tuberculosis at Chest Radiography Matched the Clinical Performance of Radiologists
- Tuberculosis Detection from Chest Radiographs: Stop Training Radiologists Now
- Using artificial intelligence to read chestradiographs for tuberculosis detection: a multi-site evaluation of the diagnosticaccuracy of three deep learning systems
- Tuberculosis detection from chest x-rays for triaging in a high tuberculosis-burden setting: an evaluation of five artificial intelligence algorithms
- Chest x-ray analysis with deep learning-based software as a triage test for pulmonary tuberculosis: a prospective study of diagnostic accuracy for culture-confirmed disease
- Early user experience and les-sons learned using ultra-portable digital X-ray with computer-aided detection(DXR-CAD) products: a qualitative study from the perspective of healthcare providers
- The performance of computer-aided detection digital chest x-ray reading technologies for triage of active tuberculosis among persons with a historyof previous tuberculosis
- Independent evaluation of 12 artificial intelligence solutions for the detection of tuberculosis
- Evaluation of chest x-ray with automated interpretation algorithms for mass tuberculosis screening in prisons:a cross-sectional study
- Diagnostic accuracy of three computer-aided detection systems for detecting pulmonary tuberculosis on chest radiography when used for screening: analysis of an international, multicentermigrants screening study
- Diagnostic accuracy of chest x-ray interpretation for tuberculosis by three artificial intelligence-based software in a screening use-case: an individual patient meta-analysis of global data
- https://www.qure.ai/news_press_coverages/Qure.ai-increases-TB-detection-while-saving-costs-shows-evaluation-in-India
- AI for Detection of Tuberculosis: Implications for Global Health
- Comparing the accuracy of computer-aided detection (CAD) software and radiologists from multiple countries for tuberculosis detection in chest X-Rays